Bewerber: Deutschland / Bid Cities : GERMANY
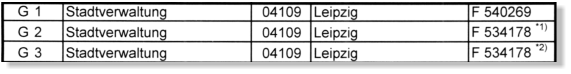
Absenderfreistempel der Stadtverwaltung Leipzig vom Typ Postalia (Kennung F...)
Absenderfreistempel / Meter
Anm. 1 und 2: Der Freistempel mit der Kennung F 534178 ist mit und ohne Zählnummer bekannt.
LONDON
PARIS
MOSKAU
ISTANBUL
HAVANNA
Brasilien
Deutschland
Hamburg
Rhein-Ruhr
Frankfurt/Main
LEIPZIG
Stuttgart
ROSTOCK
Lübeck
Kiel
Cuxhaven
Rügen/Stralsund
MWSt BZ 17
MWSt BZ 18
Postkarte
Embleme
Spanien
USA